728x90
0-1 BFS : 가중치가 0과 1만 있는 그래프에서 작동하는 알고리즘
0-1 bfs는 시간 복잡도 O(V+ E)로 다익스트라 알고리즘의 O(ElogE) 또는 O(VlogV) 보다 빠릅니다.
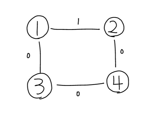
가중치가 0인 정점이 존재하기 때문에 정점의 방문 횟수가 더 많더라도 가중치가 더 낮은 경우를 고려해야 합니다. 결괏값이 방문 횟수가 아니라 가중치의 최소를 구하는 문제에서는 가중치가 낮은 경로부터 찾아야 합니다.

정점 1에서 2로 이동 = 방문 횟수 1, 가중치 1
정점 1에서 3, 4를 거쳐 2로 이동 = 방문 횟수 4, 가중치 0
탐색을 할때 가중치가 낮은 노드를 먼저 돌아야 하므로 가중치가 낮은 노드는 큐의 앞(front)에 삽입합니다.
파이썬의 우선순위 큐에서는 리스트의 앞에 삽입하는 기능이 없으므로 deque(데크)를 사용하여 'appendleft() 함수'로 큐의 앞에 삽입한다.
https://hgk5722.tistory.com/168
[백준] 13549 파이썬(python) : 숨바꼭질 3 - 0-1 BFS
https://www.acmicpc.net/problem/13549 13549번: 숨바꼭질 3 수빈이는 동생과 숨바꼭질을 하고 있다. 수빈이는 현재 점 N(0 ≤ N ≤ 100,000)에 있고, 동생은 점 K(0 ≤ K ≤ 100,000)에 있다. 수빈이는 걷거..
hgk5722.tistory.com
728x90
'[Computer Science] > [알고리즘]' 카테고리의 다른 글
| [Algorithm] 다이나믹 프로그래밍(DP) - 탑다운, 바텀업 (0) | 2022.07.14 |
|---|---|
| [Algorithm] 다익스트라 알고리즘 (0) | 2022.07.11 |
| [Algorithm] 플로이드 워셜 알고리즘 (0) | 2022.07.10 |
| [Algorithm] 에라토스테네스의 체, 소수 판정시 제곱근까지 확인하는 이유(python) (0) | 2022.07.05 |
| [Algorithm] 유클리드 호제법(최대공약수, 최소공배수) (0) | 2022.07.04 |